Ramp model

From SklogWiki
Jump to navigation Jump to search

The ramp model, proposed by Jagla [1] and sometimes known as the Jagla model, is described by:

where is the intermolecular pair potential, , and .

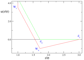
Graphically, one has:

where the red line represents an attractive implementation of the model, and the green line a repulsive implementation.

Critical points[edit]

For the particular case , the liquid-vapour critical point is located at [2]:

and the liquid-liquid critical point:

While this liquid-liquid critical point was long held to be in the stable region of the phase diagram, a high density double-network structure was found to be thermodynamically more stable than the high-density liquid under any conditions.[3]:

Repulsive Ramp Model[edit]

In the repulsive ramp case, where , neither liquid-vapor nor liquid-liquid stable equilibria occur [2]. However, for this model a low density crystalline phase has been found. This solid phase presents re-entrant melting, i.e. this solid melts into the fluid phase as the pressure is increased.

Lattice gas version[edit]

Recently, similar behaviour has been found in a three-dimensional Repulsive Ramp Lattice Gas model [4] The system is defined on a simple cubic lattice. The interaction is that of a lattice hard sphere model with exclusion of nearest neighbours of occupied positions plus a repulsive interaction with next-to-nearest neighbours. The total potential energy of the system is then given by:

where  ; refers to all the pairs of sites that are second neighbors, and indicates the occupation of site (0 indicates an empty site, 1 indicates an occupied site).

See also[edit]

References[edit]

Related literature